12月13日,国家医保局公布,2023年国家基本医疗保险、工伤保险和生育保险药品目录调整工作现已顺利结束。新版目录将于2024年1月1日起实施。
本次调整,共有126个药品新增进入国家医保药品目录,1个药品被调出目录。143个目录外药品参加谈判或竞价,其中121个药品谈判或竞价成功,谈判成功率为84.6%,平均降价61.7%,成功率和价格降幅均与2022年基本相当。业内表示,叠加谈判降价和医保报销因素,预计未来两年将为患者减负超400亿元。
据悉,此次调整新增的126种药品中,肿瘤用药21种,新冠、抗感染用药17种,糖尿病、精神病、风湿免疫等慢性病用药15种,罕见病用药15种(其中阿伐替尼片同为肿瘤用药),其他领域用药59种。同时,调出了1种即将撤市的药品。
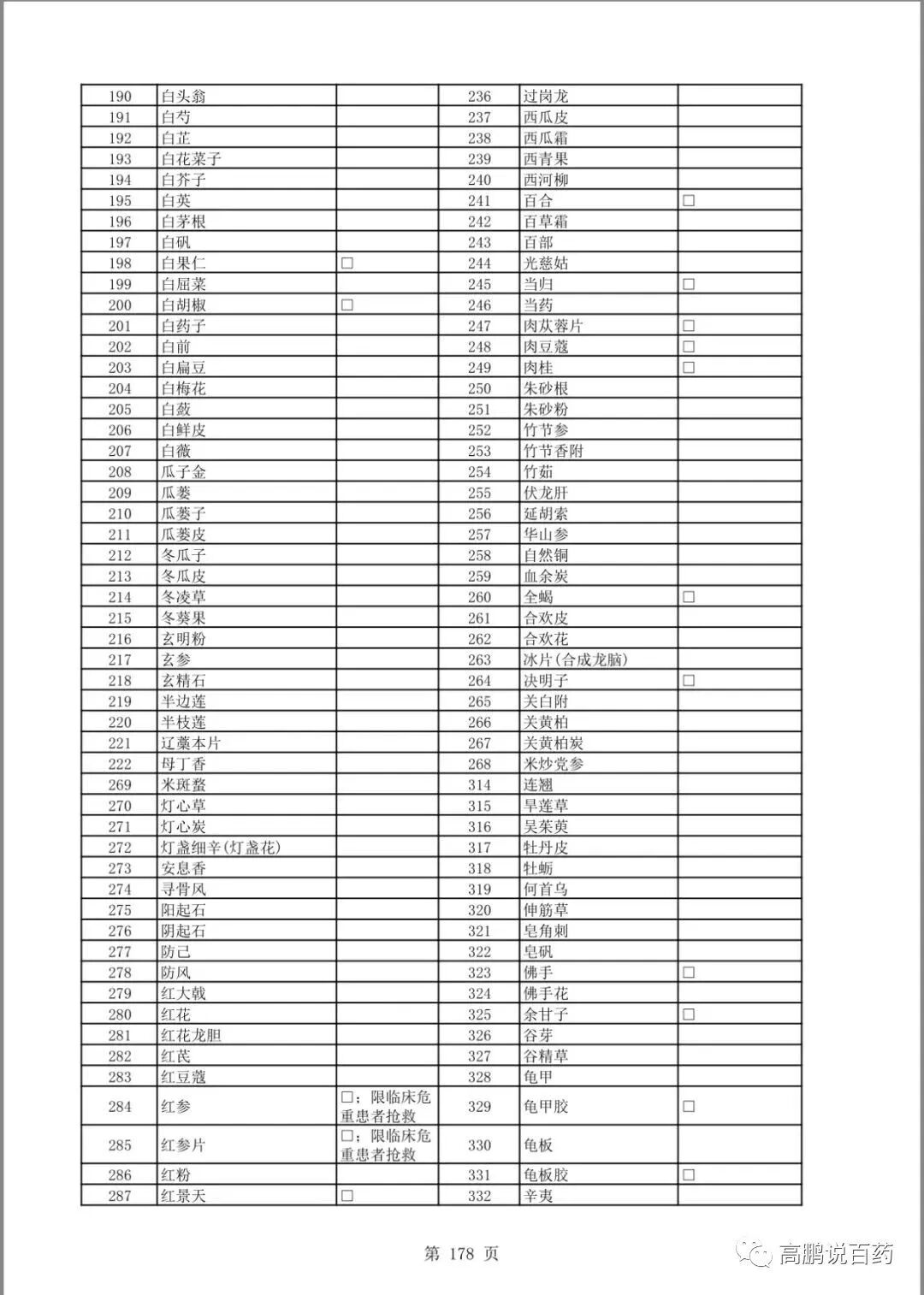
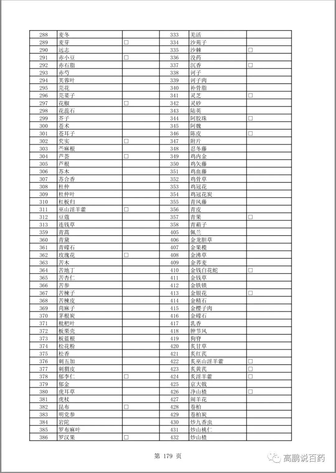
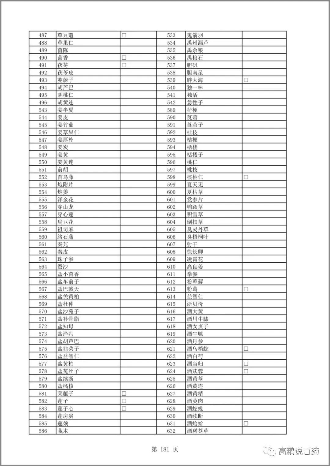
本轮调整后,国家医保药品目录内药品总数达到3088种,其中西药1698种、中成药1390种;中药饮片仍为892种。
其中引人注目的相关滋补养生类药材及中药饮片,如阿胶、冬虫夏草、白糖参、朝鲜红参、穿山甲等均不在医保报销范围内。
附:不得纳入基金支付范围的中药饮片名录(包括药材及炮制后的中药饮片)
阿胶、白糖参、朝鲜红参、穿山甲(醋山甲、炮山甲)、玳瑁、冬虫夏草、蜂蜜、狗宝、龟鹿二仙胶、哈蟆油、海龙、海马、猴枣、蜂胶、羚羊角尖粉(羚羊角镑片、羚羊角粉)、鹿茸(鹿茸粉、鹿茸片)、马宝、玛瑙、牛黄、珊瑚、麝香、天山雪莲、鲜石斛(铁皮石斛)、西红花(番红花)、西洋参、血竭、燕窝、野山参、移山参、珍珠、紫河车。
各种动物脏器(鸡内金除外)和胎、鞭、尾、筋、骨。
信息来源:国家医保局
1.“高鹏说药材”致力于提供中药行业各类资讯信息,但不保证信息的合理性、准确性和完整性,且不对因信息的不合理、不准确或遗漏导致的任何损失或损害承担责任。
2.“高鹏说药材”部分文章信息来源于网络转载是出于传递更多信息之目的,并不意味着赞同其观点或证实其内容的真实性。如对内容有疑议,请及时与我平台联系。
3.“高鹏说药材”所有信息仅供参考,不做任何商业交易及或医疗服务的根据,如自行使用“高鹏说药材”内容发生偏差,我平台不承担任何责任,包括但不限于法律责任,赔偿责任。
4.“高鹏说药材”各类带“原创”标识的资讯,享有著作权及相关知识产权,未经本网站协议授权,任何媒体、网站、个人不得转载、链接或其他方式进行发布;经本网协议授权的转载或引用,必须注明“来源:高鹏说药材(www.gpsyc.com)”。违者本网站将依法追究法律责任。
5.本声明未涉及的问题参见国家有关法律法规,当本声明与国家法律法规冲突时,以国家法律法规为准。
北京市东城区等54地入选国家中医药传承创新发展试验区
近日,国家中医药管理局印发《关于同意北京市东城区等54地建设...(769 )人阅读时间:2024-04-22【国家药典委】酸枣仁、炒酸枣仁配方颗粒国家药品标准草案(修订
4月8日,关于酸枣仁配方颗粒国家药品标准草案(修订草案)的公...(652 )人阅读时间:2024-04-08四川雅江突发森林大灾,虫草、麝香、黄芪等名贵中药材损失需待评
3月15日17时许,四川甘孜州雅江县呷拉镇白孜村发生一起森林...(941 )人阅读时间:2024-03-18全国人大代表于东霞:推进中医药全产业链发展 让道地药材更“地
中医药是我国独特的卫生资源、潜力巨大的经济资源、具有原创优势...(614 )人阅读时间:2024-03-05