根据《美国医学会杂志》(JAMA)在本周一发表的一项研究显示,减肥药替尔泊肽(商品名:Zepbound)在停止治疗近一年后体重会大幅回升。肥胖且无糖尿病的患者在从礼来公司为期八个月(36周)的替尔泊肽疗程转向安慰剂后,近一年内(36周-88周)体重反弹了14%。
好消息是,研究数据显示,那些继续接受治疗的人在52周的时间里体重又减少了5.5%。
受此消息影响,礼来公司(NYSE:LLY)的股票在早盘下跌了近5%,截止当日收盘共跌去了2.34%。
在出现了体重反弹的隐忧后,同属于GLP-1类药物的猜疑链很快又将“战火”延伸至了诺和诺德的司美格鲁肽,诺和诺德的股价同样在早盘小幅下跌。
其实停药会反弹这一问题早在今年3月份诺和诺德的官方就已经做过陈述:停止使用Wegovy(司美格鲁肽减肥用的商品名)等减肥药的患者有可能在大约五年内恢复到原来的体重。
现在看来,尽管作为GLP-1R/GIP双重激动剂的替尔泊肽确实在减肥效果上比单GLP-1激动的司美格鲁肽更优,但是仍然摆脱不了停药会反弹的结果。
那么如果单独以停药一年的结果相比,替尔泊肽和司美格鲁肽的反弹程度谁更高呢?
01
即使反弹,替尔泊肽仍然在赛道内占优
然而,相比于诺和诺德的官方陈述,一项研究显示司美格鲁肽的反弹幅度似乎更高。
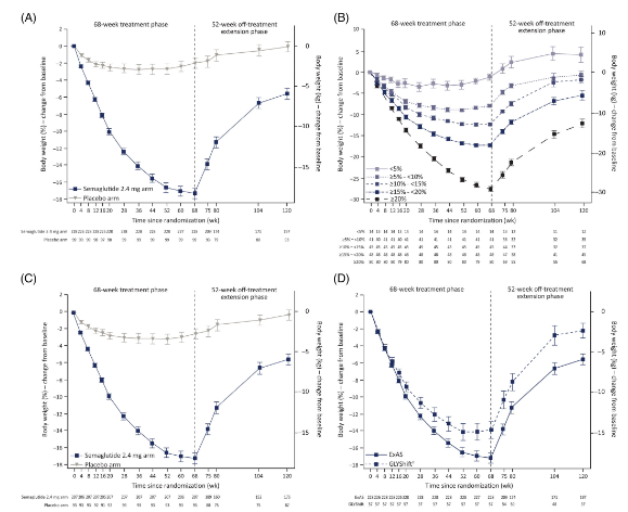
此,前诺和诺德赞助的一项研究显示,在停止每周一次皮下注射司美格鲁肽 2.4 mg和生活方式干预一年后(第68周-120周),肥胖且无糖尿病的参与者恢复了先前体重减轻的三分之二。(下图上方虚线为仅用安慰剂和生活形式干预)
虽然临床试验设计不同,但横向对比的话,其实可以看出,接受司美格鲁肽后停药的患者接受治疗干预时间更长(68周对36周),而反弹幅度2/3对比替尔泊肽的14%更加明显。
因此在体重反弹方面,即使停药下,替尔泊肽似乎仍然是更优的选择,但是在其他指标方面呢?
多面跨界一直都是GLP-1类药物的发展方向,特别是心血管和血糖方向更是其中重点。然而,司美格鲁肽和替尔泊肽都在停药后表现不佳,发生了逆转。
02
心脏代谢类改善被逆转
从司美格鲁肽的数据来看,停止治疗后,虽然一些心脏代谢危险因素仍然有小幅度的剩余益处,但大多数在68周发生的变量(如舒张压和收缩压)在第120周恢复到基线水平。停药后1年的益处似乎与第68周的初始体重减轻量有关。需要更长时间的随访研究来确定这些剩余的益处最终会失去还是保留。
来源:doi/10.1111/dom.14725
替尔泊肽的研究提出了相似的结论,替尔泊肽治疗8个月的患者最初在心脏代谢危险因素方面的改善被逆转了,因此需要进一步的研究来了解这种短期治疗的潜在长期益处和风险。
总体而言,这种停药后危险因素反弹的情况,是否会影响GLP-1类药物跨界情况仍然有待观察。
总结
总的来说,此次停药后替尔泊肽反弹的幅度可能仍然优于司美格鲁肽,但问题可能在于这些研究的结论都在证明“GLP-1类药物可能需要长期服用这个现实”。而长期服用是否会带来更加长期的隐忧尚未可知。
1.“高鹏说药材”致力于提供中药行业各类资讯信息,但不保证信息的合理性、准确性和完整性,且不对因信息的不合理、不准确或遗漏导致的任何损失或损害承担责任。
2.“高鹏说药材”部分文章信息来源于网络转载是出于传递更多信息之目的,并不意味着赞同其观点或证实其内容的真实性。如对内容有疑议,请及时与我平台联系。
3.“高鹏说药材”所有信息仅供参考,不做任何商业交易及或医疗服务的根据,如自行使用“高鹏说药材”内容发生偏差,我平台不承担任何责任,包括但不限于法律责任,赔偿责任。
4.“高鹏说药材”各类带“原创”标识的资讯,享有著作权及相关知识产权,未经本网站协议授权,任何媒体、网站、个人不得转载、链接或其他方式进行发布;经本网协议授权的转载或引用,必须注明“来源:高鹏说药材(www.gpsyc.com)”。违者本网站将依法追究法律责任。
5.本声明未涉及的问题参见国家有关法律法规,当本声明与国家法律法规冲突时,以国家法律法规为准。
药材行业烂摊子怎么破?这位老党员砸了铁饭碗,搞了三个“猛项目
朋友们,做药材的、搞健康产业的,最近是不是感觉特别难?药材价...(915 )人阅读时间:2025-09-25坦白讲!中医养生这么火,但不懂行千万别瞎搞!
朋友,你是不是也瞅着中医养生这波热潮,心里痒痒的?但一想到水...(563 )人阅读时间:2025-09-25高久恒说药材寻创业合伙人:一起把老祖宗的好东西,变成这个时代
一、平台简介:高久恒说药材——您身边的中医药创业引路人在健康...(768 )人阅读时间:2025-09-25高久恒说药材寻创业合伙人:一起把老祖宗的好东西,变成这个时代
一、平台简介:高久恒说药材——您身边的中医药创业引路人在健康...(704 )人阅读时间:2025-09-24