6月20日,宁夏医保局发布《关于做好首次中药饮片联采中选产品约定采购量确认工作的通知》,要求参与中药饮片联采报量的医疗机构开展中选产品约定采购量分配工作。

发布相同通知的还有新疆生产建设兵团医保局。三明采购联盟省际中药(材)采购联盟共有15个地区以省或部门市为单位参加,剩余地区也将陆续进行联采采购量确认工作。
本次参与中药饮片联采的医疗机构填报时间为6月20日-6月30日。
三明采购联盟省际中药(材)采购联盟共对21个中药饮片进行联合采购,不同产品在联盟各地区首年约定采购量大不相同(具体名单见文末附件),例如,黄芪(选货)在山东的首年约定采购量为273220.51千克;黄芪(选货)在山西的首年约定采购量为39299.56千克,相差233920.95千克。

根据采购文件,医药机构填报采购需求的产品若中选,同时该中选药品的供应区域包含该医药机构所在地区,则该医药机构填报的约定采购量的50%分配给该中选药品,剩余50%纳入待分配量。
医药机构填报采购需求的产品未中选,或该中选药品的供应区域未包含该医药机构所在地区,则该医药机构填报的约定采购量全部纳入到待分配量中。待分配量由医药机构在供应本地区的中选药品中结合样品质量、中选价格自主选择分配,并可在同品种各品规间调剂分配。
即,中选企业选择的供应地区当地的医疗机构填报了企业的相应中选产品,中选产品直接获得50%的约定采购量;医院填报的产品未中选,或者中选产品的供应地区不包含的报量地区,约定采购量就需要纳入到待分配量之中。
值得注意的是,本次约定采购量分配,系统已设置功能,医疗机构仅需对待分配量进行自主选择分配。已锁定到中选产品的约定采购量,医疗机构无法调整。
本次中药饮片联采21个中药饮片品种共100家企业中选,平均降价29.5%,最大降幅56.5%。参与的医疗机构达到6000多家。
中药饮片具有其特殊性,湘财证券在一份研报中指出,联采的方案设计和实操难度均较大,此次联采作为中药饮片跨区域集中带量采购的首次探索,在实现以量换价的基础上,实现了“保质、提级、稳供”的预期目标。未来中药的集采还将继续扩围,保质仍然是重要考量因素,从已有的中成药、中药饮片联采情况来看,中药集采整体降价较为温和,入选企业尤其是市占率较高的龙头企业有望实现以价换量,行业集中度有望继续提升。
02联采倒逼中药饮片质量提升
饮片市场或洗牌
本次联采中选结果将于2023年8月实施(具体执行日期以各地发布通知为准),中药饮片联采结果即将落地。
据《2022年中国医药工业经济运行报告》,2022年中药饮片加工市场规模超过2100亿元,同比增长5.5%。
市场潜力强大,除联采外,中药饮片产业还需要面对原料涨价、外部监管等压力。
近日,多省针对中药材价格异常增长发布公告。江苏省医药行业协会、广东省医药协会先后发布关于中药材价格异常增长、呼吁相关政策出台的公告。
对于中药饮片企业而言,原料价格上涨对终端的影响更为明显。浙商证券在一份研报中指出,一方面,饮片企业与上游中药材种植之间的产业链较短;另一方面,省标转国标的过程中,中药饮片的价格或再上涨。双重因素影响终端价格。
原料在涨价,但市场仍存在产品良莠不齐、营销推广大于产品本身的情况。饮片行业中仍有不少企业是自己做主,缺乏富有监管力的行业统一标准进行规范。
接下来,中药饮片联采落地,整个中药饮片市场将面临洗牌,不具备条件的中小企业将被淘汰,实力强的企业会越做越大。联采倒逼下,饮片企业或逐步做好追溯,中药饮片的价格也将透明化。
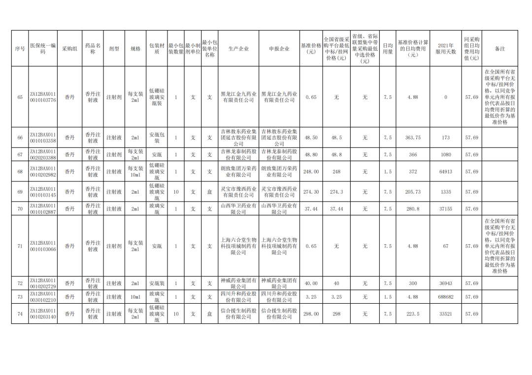
附:中药饮片联合采购中选结果
联盟各地区首年约定采购量














各采购品种首年约定采购量



















来源: 赛柏蓝
1.“高鹏说药材”致力于提供中药行业各类资讯信息,但不保证信息的合理性、准确性和完整性,且不对因信息的不合理、不准确或遗漏导致的任何损失或损害承担责任。
2.“高鹏说药材”部分文章信息来源于网络转载是出于传递更多信息之目的,并不意味着赞同其观点或证实其内容的真实性。如对内容有疑议,请及时与我平台联系。
3.“高鹏说药材”所有信息仅供参考,不做任何商业交易及或医疗服务的根据,如自行使用“高鹏说药材”内容发生偏差,我平台不承担任何责任,包括但不限于法律责任,赔偿责任。
4.“高鹏说药材”各类带“原创”标识的资讯,享有著作权及相关知识产权,未经本网站协议授权,任何媒体、网站、个人不得转载、链接或其他方式进行发布;经本网协议授权的转载或引用,必须注明“来源:高鹏说药材(www.gpsyc.com)”。违者本网站将依法追究法律责任。
5.本声明未涉及的问题参见国家有关法律法规,当本声明与国家法律法规冲突时,以国家法律法规为准。
北京市东城区等54地入选国家中医药传承创新发展试验区
近日,国家中医药管理局印发《关于同意北京市东城区等54地建设...(769 )人阅读时间:2024-04-22【国家药典委】酸枣仁、炒酸枣仁配方颗粒国家药品标准草案(修订
4月8日,关于酸枣仁配方颗粒国家药品标准草案(修订草案)的公...(652 )人阅读时间:2024-04-08四川雅江突发森林大灾,虫草、麝香、黄芪等名贵中药材损失需待评
3月15日17时许,四川甘孜州雅江县呷拉镇白孜村发生一起森林...(941 )人阅读时间:2024-03-18全国人大代表于东霞:推进中医药全产业链发展 让道地药材更“地
中医药是我国独特的卫生资源、潜力巨大的经济资源、具有原创优势...(614 )人阅读时间:2024-03-05