▍来源:同茂顺 整理:百合
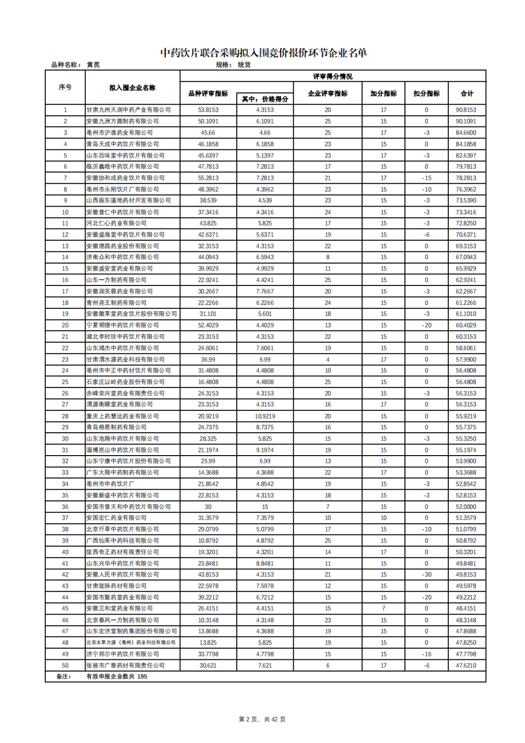
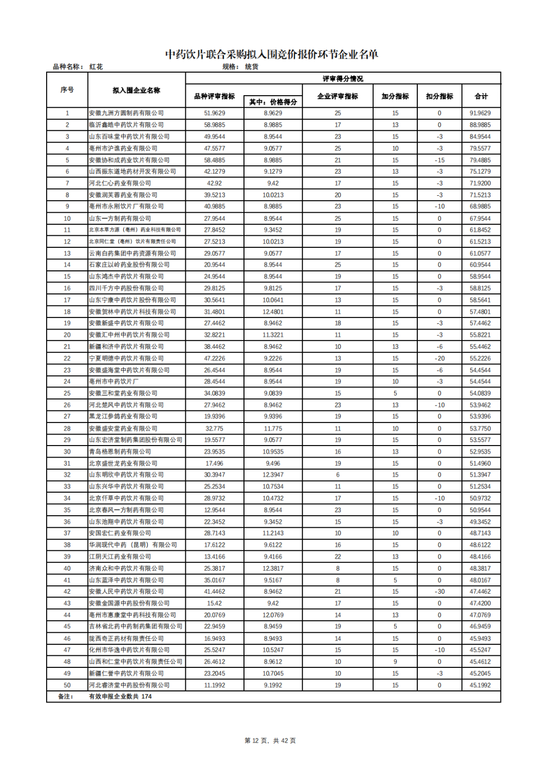
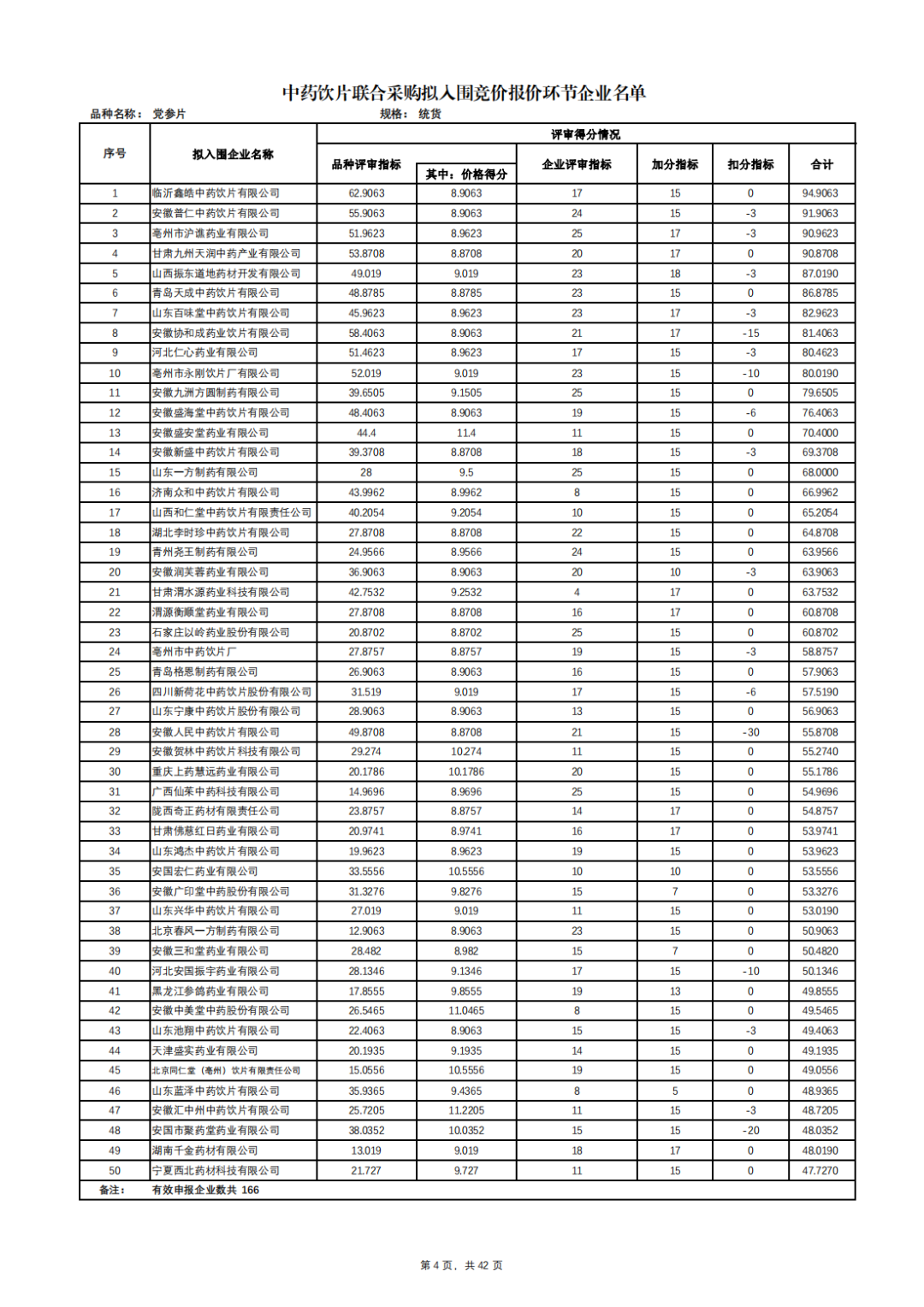
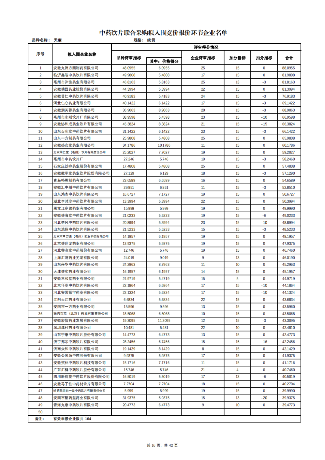
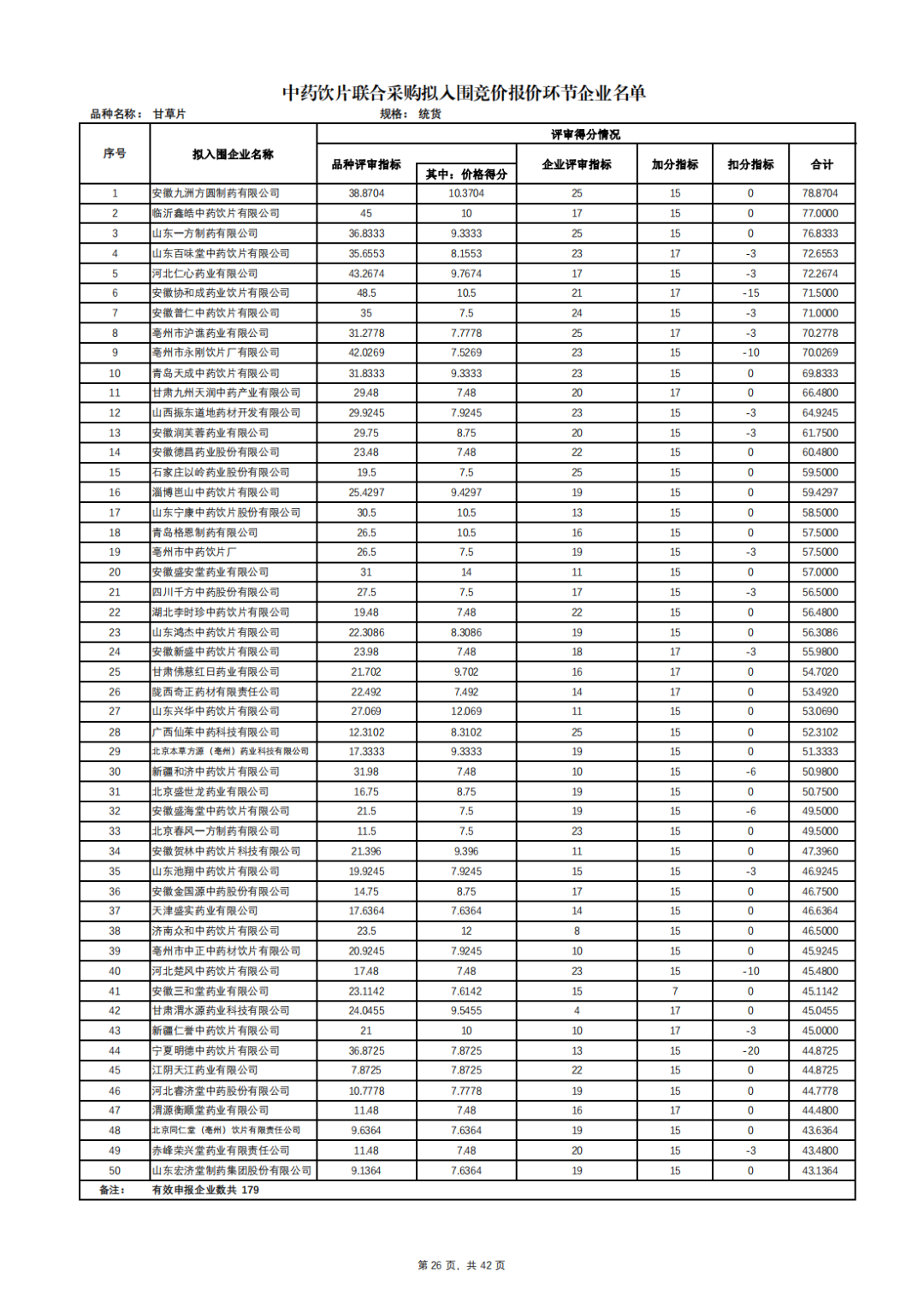
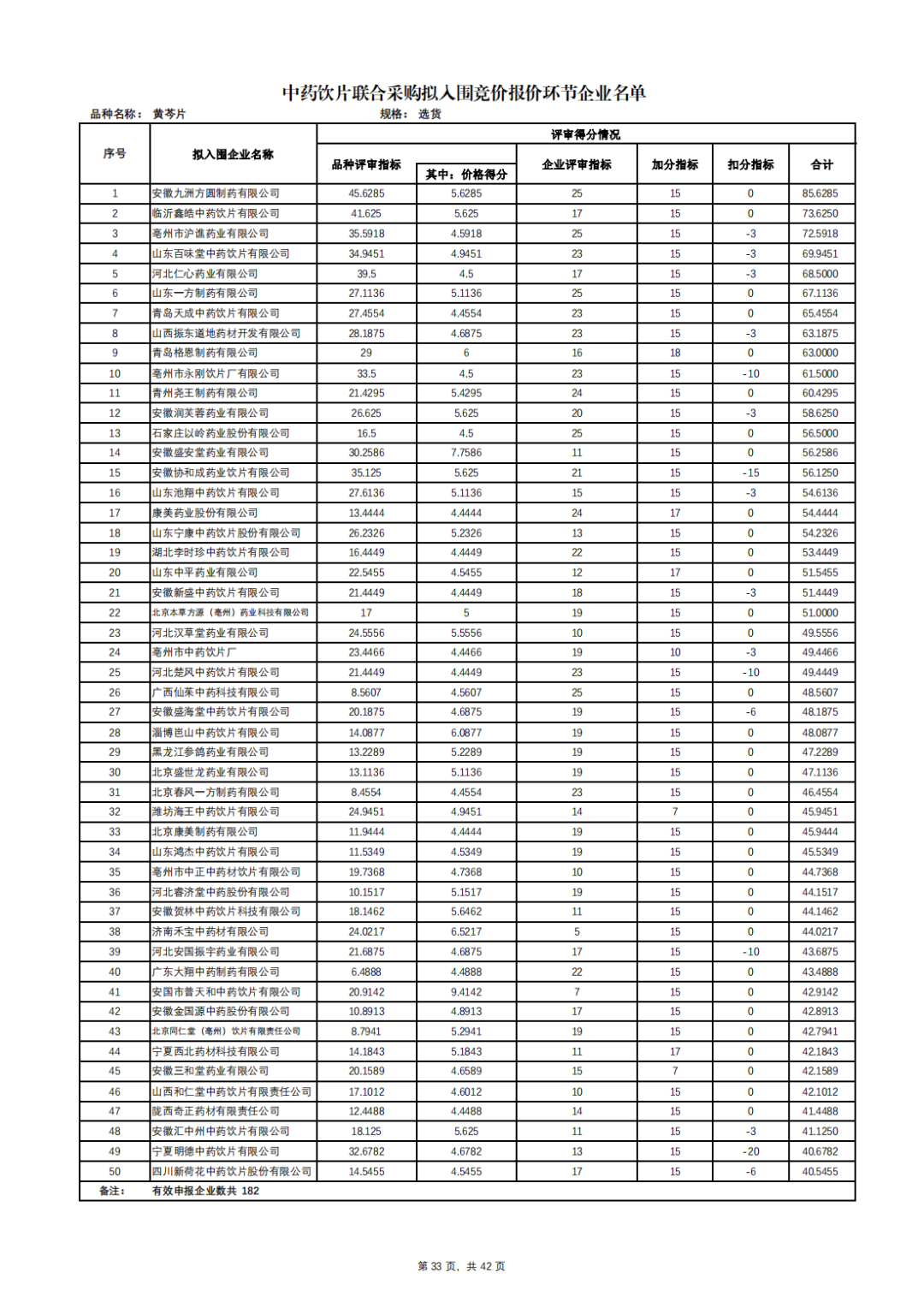
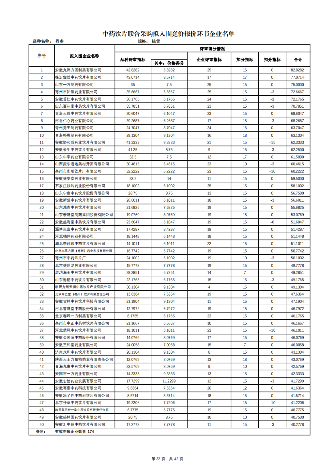
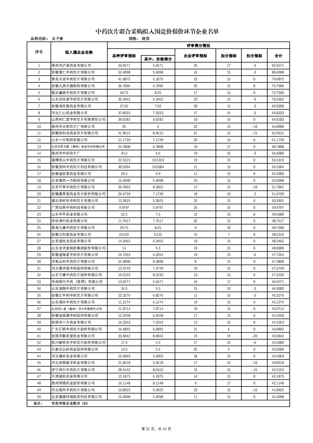
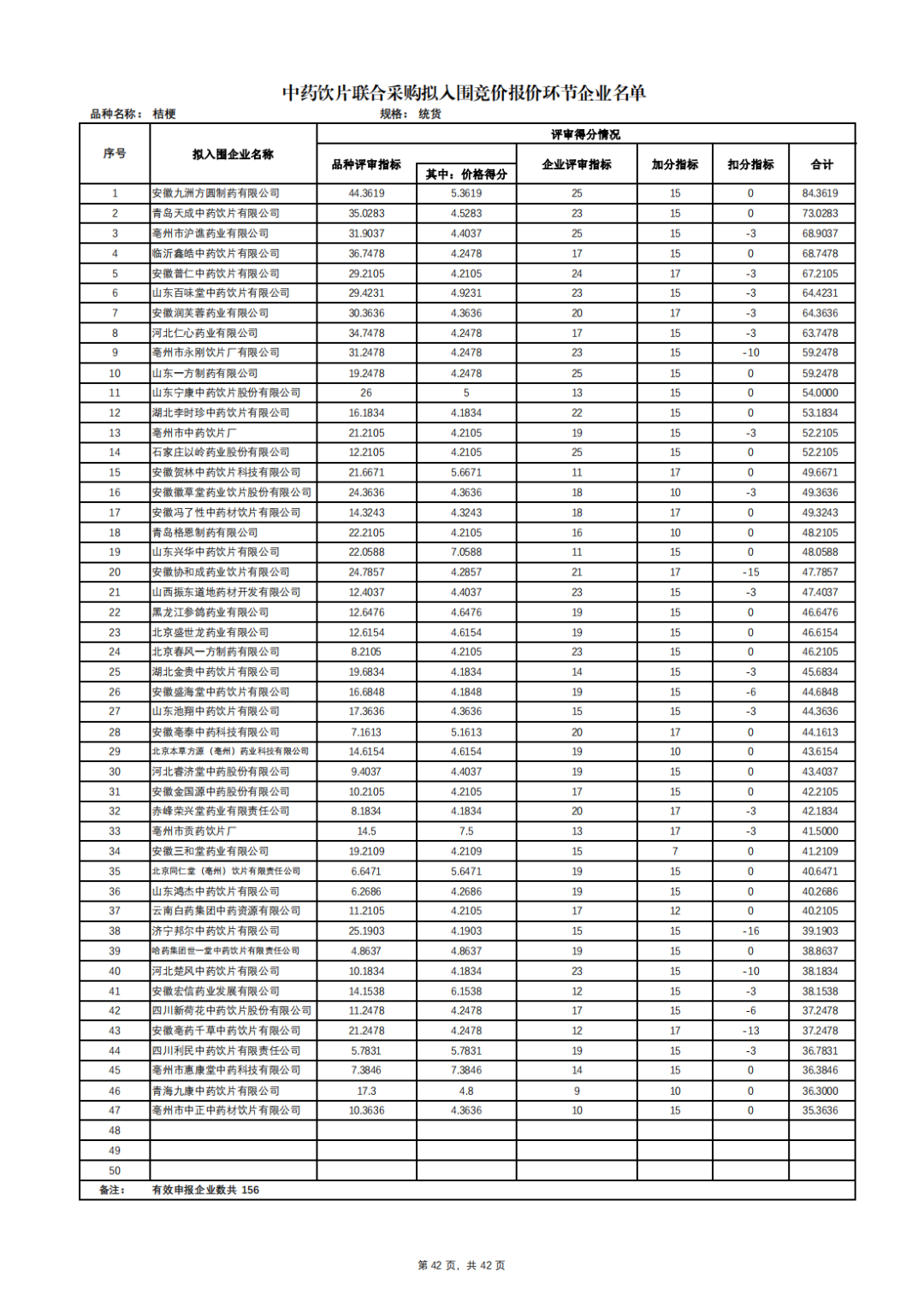
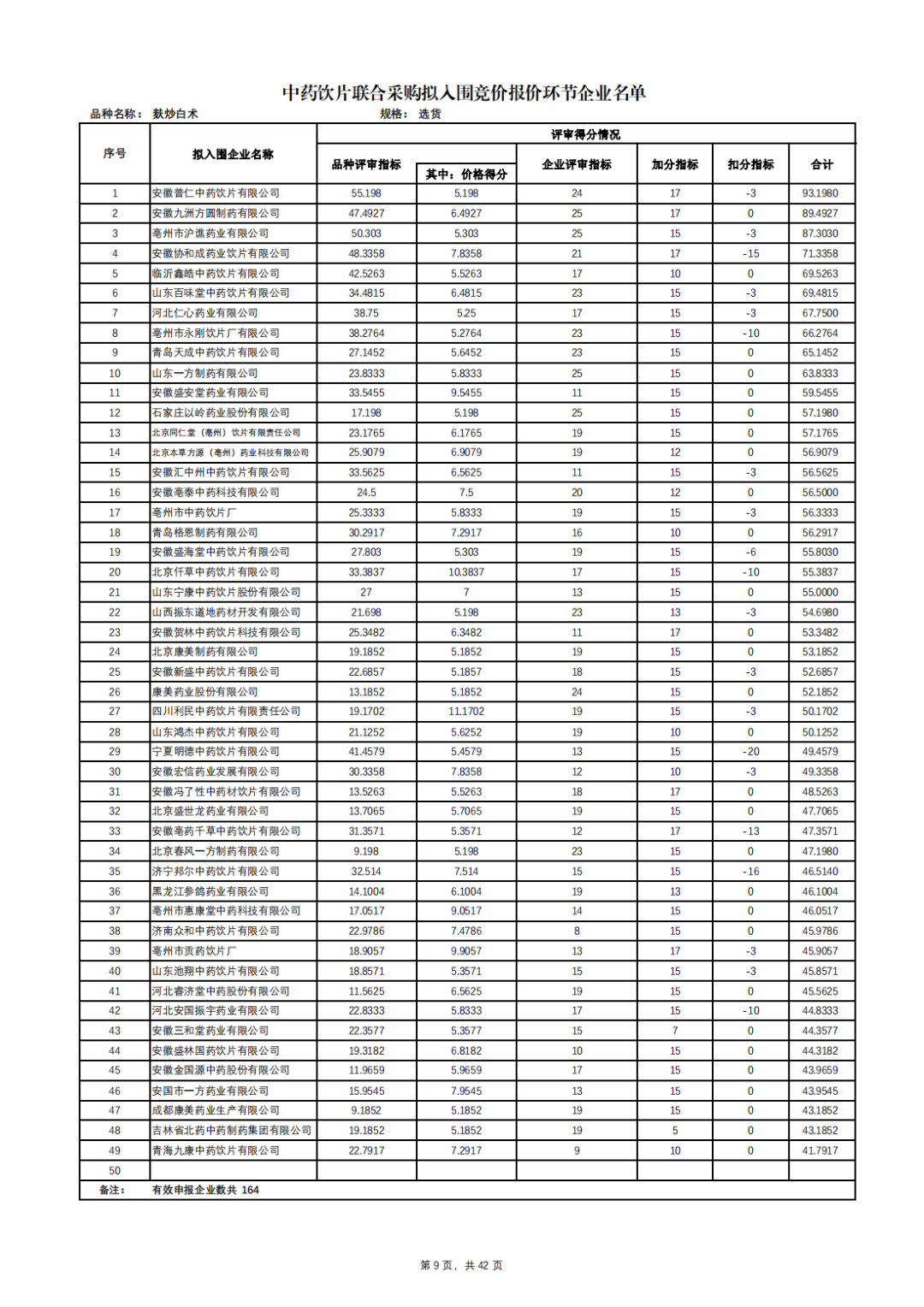
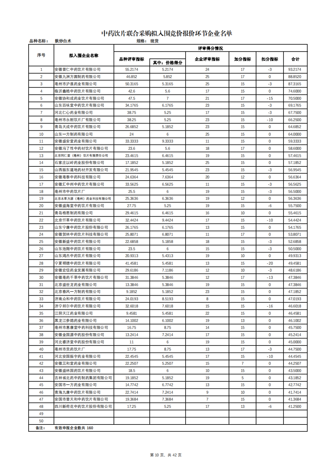
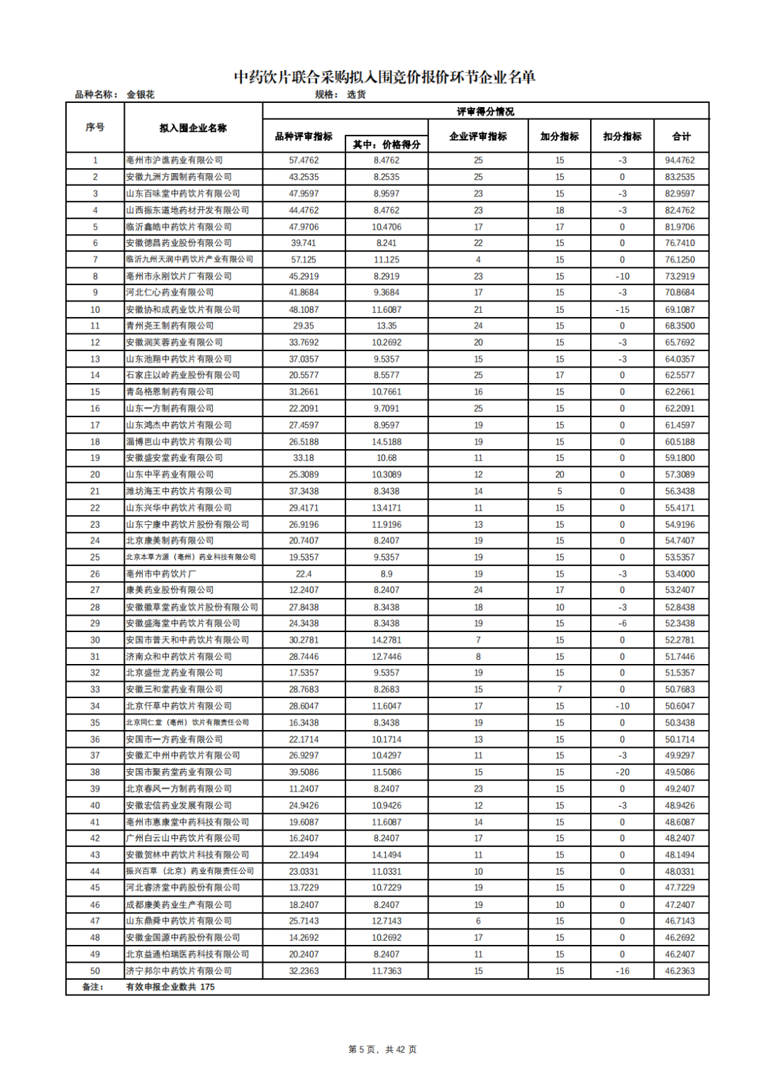
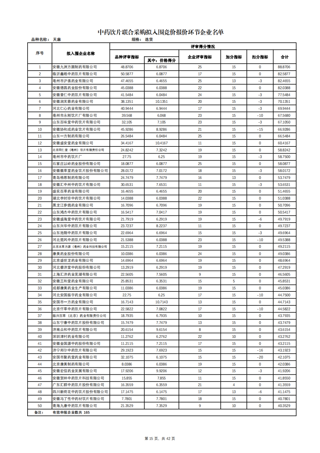
▍3月28日,三明采购联盟(全国)中药(材)专区、山东互联网中药(材)交易中心官网发布中药饮片联合采购拟入围竞价报价环节企业名单公示

各相关单位:
根据《三明采购联盟省际中药(材)采购联盟中药饮片联合采购文件(ZY-YP2022-1)》规定,联盟采购办公室已组织专家完成了综合评审及首轮报价解密工作。现将拟入围竞价报价环节企业名单进行公示,详见附件。
在公示期间如有异议,请于公示截止日前将加盖企业公章的合法有效的申诉(投诉)材料通过交易平台线上提交或现场递交至联盟采购办公室,逾期不再受理。
公示时间:2023年3月29日至2023年3月31日
地 址:山东省济南市高新区汉峪金谷健康大厦23楼2316室
电 话:400-6060-776
三明采购联盟省际中药(材)采购联盟采购办公室
2023年3月28日

























1.“高鹏说药材”致力于提供中药行业各类资讯信息,但不保证信息的合理性、准确性和完整性,且不对因信息的不合理、不准确或遗漏导致的任何损失或损害承担责任。
2.“高鹏说药材”部分文章信息来源于网络转载是出于传递更多信息之目的,并不意味着赞同其观点或证实其内容的真实性。如对内容有疑议,请及时与我平台联系。
3.“高鹏说药材”所有信息仅供参考,不做任何商业交易及或医疗服务的根据,如自行使用“高鹏说药材”内容发生偏差,我平台不承担任何责任,包括但不限于法律责任,赔偿责任。
4.“高鹏说药材”各类带“原创”标识的资讯,享有著作权及相关知识产权,未经本网站协议授权,任何媒体、网站、个人不得转载、链接或其他方式进行发布;经本网协议授权的转载或引用,必须注明“来源:高鹏说药材(www.gpsyc.com)”。违者本网站将依法追究法律责任。
5.本声明未涉及的问题参见国家有关法律法规,当本声明与国家法律法规冲突时,以国家法律法规为准。
北京市东城区等54地入选国家中医药传承创新发展试验区
近日,国家中医药管理局印发《关于同意北京市东城区等54地建设...(769 )人阅读时间:2024-04-22【国家药典委】酸枣仁、炒酸枣仁配方颗粒国家药品标准草案(修订
4月8日,关于酸枣仁配方颗粒国家药品标准草案(修订草案)的公...(652 )人阅读时间:2024-04-08四川雅江突发森林大灾,虫草、麝香、黄芪等名贵中药材损失需待评
3月15日17时许,四川甘孜州雅江县呷拉镇白孜村发生一起森林...(941 )人阅读时间:2024-03-18全国人大代表于东霞:推进中医药全产业链发展 让道地药材更“地
中医药是我国独特的卫生资源、潜力巨大的经济资源、具有原创优势...(614 )人阅读时间:2024-03-05