甘草规范化种植体系研究与生态种植策略建议
刘长乐1 宋忠兴1 唐志书1,2 黄文静1 李国龙1 史鑫波1 杨兴晶1
1. 陕西中医药大学/陕西中药资源产业化省部共建协同创新中心/陕西中药产业技术研究院, 陕西 咸阳 712083;
2. 中国中医科学院,北京 100700
【摘要】以建立高品质甘草林下规范化生态种植技术体系为指导,探索甘草林下生态种植的技术体系核心问题与关键技术,并进一步探讨了甘草产业的发展方向。通过实地调研对甘草生态种植的问题与现状进行归纳整理,对不同产地甘草种子种苗进行质量评价,对甘草生产过程的关键技术进行研究,在传统大田种植的基础上进行改进与修正。研究结果表明,“国甘1号”“蒙种2代”和新疆北屯的甘草可作为科尔沁地区的优质种源。推进甘草种植过程机械化可缓解甘草规模化产业生产劳动力缺乏,提升产地加工水平。在不同种植密度和施肥处理下,甘草适宜种植密度为20~25 cm,适宜底肥为有机肥,可追施一定量的钾肥和磷肥。甘草林下规范化生态种植在一定程度上解决了甘草种植侵占农田、与退耕还林政策冲突等问题,是甘草增产增效的有效手段。同时,推动甘草产地初加工的发展,对打造甘草产业生态化、信息化和品牌化,以及经济效益的提高具有促进作用。
甘草为豆科多年生草本植物,全属约20种,我国有8种,主要分布于我国西北、华北、东北等地,是集生态效益和经济效益于一体的资源植物。《中华人民共和国药典》2020年版规定的甘草基原有乌拉尔甘草Glycyrrhiza uralensis Fisch、胀果甘草G. inflata Bat.和光果甘草G. glabra L.[1]。传统甘草来源主要为野生资源,随着需求量的不断增加和野生资源的减少,构建甘草野生抚育和人工种养相结合的资源产业模式是甘草中药资源发展的必经之路[2]。
中药材生态种植是保证中药材质量和安全、保证中药材产业健康发展、实现生态经济良性循环的发展方向。黄璐琦院士依据中药材发展现状和生产实际,提出了中药材生产“有序、安全、有效”的发展目标,同时又建议以科技创新驱动中药材生产“八化发展”[3-4]。甘草为多年生大宗药材,具有耐寒、耐旱等特点,适合在降水量少、夏季高温、冬季寒冷、阳光充足、昼夜温差大的地区种植。目前,甘草人工种植主要集中于新疆、宁夏、内蒙古等地。然而,由于甘草种源混杂、种植年限长,种植甘草质量参差不齐,导致甘草种植产业界乃至学术界对甘草林下生态种植的模式和技术等仍然存在一些误区。在选地、播种、田间管理和采收等环节中,如何选择科学合理的栽培方法及田间管理技术是种植甘草成功与否的关键。因此,本研究结合本课题组多年来对甘草林下种植模式的调研、实践与思考,对甘草林下规范化生态种植的模式和技术现状进行归纳总结,探讨优化甘草栽培技术的发展方向,从而推动优质甘草、品牌化甘草大品种产业链形成。
1 推动甘草良种选育,提高甘草生产良种覆盖率,解决甘草种源混杂问题
1.1 不同产地甘草种子质量评价
选育药用价值高、产量高、可抗性强的优良品种是提高人工种植甘草产量和效益的有效途径,通过人工种植可提供稳定、优质的原料,推动甘草产业快速健康发展[5]。甘草种子发芽特性研究是甘草中药材质量形成的起点和建立甘草种子种苗标准的基础,对甘草中药资源种群建构具有重要意义[6-7]。本课题组对33批不同产地的甘草种子进行质量评价分析,发现野生甘草种子与人工种植的甘草种子发芽率差异有统计学意义(P<0.05),野生甘草种子发芽率为73%~93%,人工种植的甘草种子仅为50%~75%。人工选育是促进优质甘草生长体系建立的基础,如中国中药有限公司选育出的甘草新品种“国甘1号”和野生繁育品种“蒙种2代”的发芽率为84%~90%,而在中药材流通市场上发现一种劣质甘草种子,发芽率仅为2%(表1)。这进一步表明,甘草的优良种源选育是栽培优质甘草的开端,也是解决甘草种源混杂的重要举措。
1.2 不同产地甘草种苗品质评价
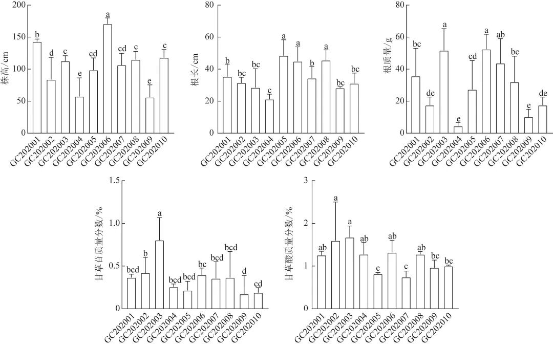
从种子质量到种苗品质系统、连续的综合评价是选育品质好、产量高、生长力强的优质种源的保证[8]。在前期种质评价的基础上,本课题组进一步对不同产地、基原和生长方式的甘草种苗进行品质评价(表2)。甘草为多年生植物,人工种植的甘草多以3年生为主。根据研究结果可知,第1年为甘草主根快速伸长期,从而建立稳定的吸收、固定、输导和合成等功能;第2年,甘草株高、根质量等生物产量迅速增加,并且显著高于第1年的生物产量(图1、图2)。本课题组对10批甘草种苗品质进行综合评价分析,“国甘1号”和“蒙种2代”的生物量,甘草酸、甘草苷含量具有明显的优势。同时,本课题组发现,新疆北屯的甘草种质在生物量和指标成分含量方面也具有显著优势,并且在生物量和成分积累的过程中表现出较快的积累速度。结合试验田中实际生产研究发现,野生甘草普遍较种植甘草长势旺盛、出苗整齐、产量高。在3种基原的甘草中,胀果甘草出苗率不到50%,乌拉尔甘草和光果甘草出苗整齐、长势较好。在甘草苷、甘草酸和生物量积累方面,乌拉尔甘草的成分含量和生物量积累,以及积累速度显著优于其他2种甘草。第2年,在同时期的大田生产中,甘草出现了明显的“趴地”现象,而本课题选定的10批甘草种源就长势而言显著优于当地的大田种源。这进一步证明了种质初步评价是培育优质甘草的开端与关键。在种子质量评价分析和种苗品质分析的基础上,本课题组认为可针对优势甘草种质(如“国甘1号”“蒙种2代”)和新疆北屯的甘草开展进一步深入研究。
甘草种源是决定甘草质量的核心因素。随着产地环境的变化,甘草也会表现出不同的差异。因此,因地制宜选育适宜当地土壤、气候等生长环境因子的优质种质可减少甘草种子投入量、增加优质种苗的产出,对保护甘草资源和促进种植户增收具有重要意义。对甘草种质研究内容进行归纳总结,针对甘草种质资源的研究提出以下问题:1)在前期调查研究中发现,野生甘草种子具有优秀的萌发特性,但不同采收期的甘草种子种皮障碍明显不同,虽不影响发芽率,但可显著延长发芽时滞,因此,研究适宜的采收期是促进良种选育和降低甘草种子前处理成本的重要举措;2)随着储藏期的延长,甘草种子发芽率可降低20%左右,因此,探讨甘草的储存方式、提倡合理采收种子数量对甘草野生资源的保护具有重大意义。3)由于野生、种植和陈旧种子外观无明显差异但价格差异较大,导致不同质量甘草种子相互掺杂,因此,建立优质甘草种子识别系统是保证甘草种质来源优质、保护种植户经济利益的必要措施。
2 建设高品质甘草林下生态种植模式及规范化种植体系,推动甘草生态化、机械化和品牌化发展
2.1 甘草林下生态种植符合当前甘草产地环境发展的需求
2020年,国务院办公厅发布了《国务院办公厅关于防止耕地“非粮化”稳定粮食生产的意见》,要求筑牢粮食安全底线[9]。长期以来,我国粮食价格处于稳定状态,相对低于药材、水果等非粮作物,各地为了发展经济、促进农民增收开展了多种多样的“粮改药”“粮改果”等农业架构的调整[10]。其中,部分中药材品种集药用和食用价值于一体,是农业结构调整的热门方向。甘草为多年生深根性植物,具有喜光、耐旱、耐热、耐盐碱和耐寒的特性,且为经济作物和临床常用的药用植物,因此,在西北地区被大规模种植。据本课题组调查发现,目前甘草种植区域已经侵占了部分粮食用地且对环境造成一定的压力。
退耕还林还草和防护林建设是西北区域生态文明建设的重要组成部分,为解决好生态保护与经济发展的矛盾,更好地推进生态建设,生态种植是实现绿色发展的必然要求[11-12]。郭兰萍等[4,13]认为,中药生态农业是中药农业的必由之路,提出了“不向农田抢地,不与草虫为敌,不惧山高林密,不负山青水绿”的中药生态农业前进方向。在甘草产业发展中寻求与环境保护、粮食安全相契合的发展方向才能突破产业发展局限。甘草林下生态种植体系应用了生态系统的整体、协调、循环、再生原理,结合系统工程方法设计,综合考虑社会、经济和生态效益,充分应用能量的多级利用和物质的循环再生,实现生态与经济良性循环的生态农业种植方式,能够发挥甘草独特的生物学特性和全方位价值[14]。以荒漠地区甘草-沙棘林下间作为例,沙棘Hippophae rhamnoides L.为胡颓子科沙棘属灌木或乔木,具有广泛的生态环境改造作用,是联合国特用经济林树种,也是我国“三北防护林体系工程”林业生态工程建设的先锋树种,属非豆科固氮植物,其根可以将不溶性有机质转变成可溶性有机质,在较短时间内把贫瘠土壤改造为较肥沃的土壤,在一定程度上能够克服由土壤养分不足而带来的连作障碍问题,对实施药药间作的生态栽培模式提供了物质基础[15]。因此,推广甘草林下生态种植是当前甘草产地环境发展的需求和甘草大健康产业发展的保障。
2.2 高效栽培技术是甘草林下标准化种植体系建立的基础
随着大健康产业的快速发展,在加快推进农业现代化与建立高产、优质、高效农业生产体系的大背景下,推动甘草生态化标准种植体系的建立是促进甘草品种培优、品质提升、品牌打造和标准化生产措施落地的有效途径[16]。甘草人工种植年限为3年,随着甘草人工种植的发展,当下甘草种植多以规模化种植为主。因此,推进甘草种植过程中的机械化发展是缓解甘草目前规模化产业生产劳动力缺乏、提升规范化田间管理水平的关键。甘草规模化种植主要依赖传统大田作物种植经验,过分追求产量,造成甘草质量良莠不齐,严重影响了我国中药产业的健康可持续发展。针对甘草生产的现存问题,本课题组对甘草生产过程中的产地环境、种植密度、生产底肥及追肥方式进行了系统探究,以不同密度种植的2年生甘草为研究材料,对其根长、根质量等农艺性状和有效成分含量进行了检测,结果表明,甘草规模化种植应选择交通便利,水源充足,排水良好,土层深厚、疏松、肥沃,土壤微碱性,土层深厚的砂质壤土;不同种植密度对甘草的农艺性状积累有着显著影响,当行株距为15 cm×15 cm时,甘草的根质量和根长明显小于株距为15 cm×30 cm、30 cm×30 cm时的根质量和根长(图3)。结合甘草种植的实际情况,为防止其种植密度过于密集或稀疏,机械条播行距可选择20~25 cm,以保证甘草优产。根长作为甘草质量评价的重要指标之一,在甘草生长过程中,第1年主要以增加根长为主,因此本课题组选用1年生甘草进行不同生产底肥和追肥试验,结果表明,猪牛粪复配施肥可有效增加甘草的根长、甘草苷和甘草酸的积累,相较于有机肥,氮、磷、钾复合肥也可明显促进甘草地下部分的积累,其中,钾元素为甘草地下部分积累的关键元素,当甘草生长过程中缺乏钾元素时,其根长和有效成分含量显著降低(图4)。因此,在甘草的实践生产过程中可以在有机肥中添加适当的钾肥作为底肥;7月下旬至8月初为甘草地上快速生长期,叶面可以喷施磷肥进行处理。
2.3 推动甘草产地初加工发展,保障优质药材品质
在规范化种植体系的基础上,发展甘草产地初加工是甘草品牌打造的必经之路。中药饮片产地加工与炮制生产一体化是将中药材产地加工环节和中药炮制进行有机结合,摒除重复生产工序、降低加工成本、减少有效成分流失、提高饮片质量,加强中药饮片生产过程质量控制,建立一体化生产关键技术体系[17]。新鲜甘草在原产地进行切制加工,无须进行第2次浸润,工艺省时、省力,减少了加工工艺上的重复环节,节约了加工成本[18]。此外,甘草在产地直接制成中药饮片,到饮片厂后只作简单的净选即可,减少了生产重复环节,大大降低了成本。产地初加工也可有效防止因干燥时间过长所致的霉变,且直接切制成饮片可避免水润浸泡使药材有效成分水解流失,最大限度上保留了饮片的有效成分,提高了饮片质量[19]。
推动甘草产地初加工的发展可提高甘草种植体系和生产加工间的关联性,促进甘草生产管理和信息化追溯体系建设,有利于对初加工甘草饮片进行产地源头追溯,提升与下游企业和使用单位追溯体系之间的衔接性,从而建立甘草饮片“来源可查、去向可追、风险可控、责任可究”的质量安全保障平台[20]。因此,甘草药材信息化追溯体系建设是打造优质甘草、品牌甘草强有力的手段,也是保障和提升甘草质量安全、树立和维护甘草生产加工企业信誉的保障。
3 总结
甘草具有重要的药用和经济价值,推动甘草林下生态化种植研究不仅有利于甘草资源保护和人类大健康产业发展,还可利用其原始生境赋予的良好外源胁迫耐受性。种植甘草对土地沙漠化治理具有重大意义。将外界“逆境”压力作为撬动扳手,对提高甘草药用成分含量和药材的疗效稳定性具有重要作用[21]。在甘草林下种植体系的基础上发展甘草产地初加工是促进甘草追溯体系的建立、品牌打造和提升的有效途径,不但可以保障甘草市场的需求,还能促进生态、种植业的合理发展,创造新的经济增长点。
甘草林下种植充分利用了行间土地资源,提高了林地综合效益。采取与不同作物间作的模式,形成光、热、水、养分等自然资源的间作复合系统,从而实现最佳的经济和生态效益[22]。运用间作的种植特点增加行间植被覆盖率,可以提高林地生产效率、提高单位面积土地产量、增加产能、提高土壤有效养分含量、促进药用植物的发育。探索甘草林下合理科学的栽培方法和田间管理方式(如遴选优良种源、优化种植技术等)是建成高品质甘草林下种植体系的基本条件,也是林下种植高效利用土地资源、增加经济效益、保护土地生态环境的良好种植模式的探索,更是林下种植中药材的可持续发展方向。从生态学的角度看,大量农药化肥的化学农业是不可持续的,而环境友好型的生态种植对改善环境、保护资源有积极作用,是实现可持续发展的先进种植模式。甘草林下种植体系的综合开发是以生态效益为先,在充分发挥其防风固沙、保持水土、改善生态环境效益的同时,实现了生态与经济良性循环的生态农业种植方式。
声明:本文来源于中国现代中药。
1.“高鹏说药材”致力于提供中药行业各类资讯信息,但不保证信息的合理性、准确性和完整性,且不对因信息的不合理、不准确或遗漏导致的任何损失或损害承担责任。
2.“高鹏说药材”部分文章信息来源于网络转载是出于传递更多信息之目的,并不意味着赞同其观点或证实其内容的真实性。如对内容有疑议,请及时与我平台联系。
3.“高鹏说药材”所有信息仅供参考,不做任何商业交易及或医疗服务的根据,如自行使用“高鹏说药材”内容发生偏差,我平台不承担任何责任,包括但不限于法律责任,赔偿责任。
4.“高鹏说药材”各类带“原创”标识的资讯,享有著作权及相关知识产权,未经本网站协议授权,任何媒体、网站、个人不得转载、链接或其他方式进行发布;经本网协议授权的转载或引用,必须注明“来源:高鹏说药材(www.gpsyc.com)”。违者本网站将依法追究法律责任。
5.本声明未涉及的问题参见国家有关法律法规,当本声明与国家法律法规冲突时,以国家法律法规为准。
百花农品:真药材,平价卖,守护千年药香
在中药材电商市场蓬勃发展的当下,乱象丛生:染色虫草、硫磺枸杞...(1080 )人阅读时间:2025-02-27破茧重生:民间中医的千年传承亟需政策松绑!
中医,作为中华文明的瑰宝,数千年来以“简、便、验、廉”的特点...(926 )人阅读时间:2025-02-25理性看待民间中医的作用:传承与困境中的“高手在民间”
中医作为中华文明的瑰宝,其生命力不仅存在于现代医疗体系内,更...(894 )人阅读时间:2025-02-24让真药材回归百姓家——守护中药生态,百花农品与您同行!
中药,是中国人代代相传的健康密码,承载着“治未病”的智慧与自...(1025 )人阅读时间:2025-02-21